- ۱۴۰۴/۰۶/۳۰
- 16 نظر «نمایش»
دانلود رایگان سوالات استخدامی بانک مرکزی
دانلود رایگان سوالات استخدامی بانک مرکزی
- بروزرسانی:
- دیدگاه: 16 (نمایش)
- دیدگاههای منتظر: ۰ دیدگاه
نمونه سوالات استخدامی بانک مرکزی با جواب
دانلود رایگان نمونه سوالات استخدامی سایر سازمانها
روی لینکها بزنید و بیشتر بخوانید
دانلود نمونه سوالات بانک مرکزی (VIP) |
||
| سوالات حیطه عمومی آزمونهای استخدامی بانک مرکزی | ||
| معرفی: دانلود نمونه سوالات استخدامی بانک مرکزی (VIP) | با پاسخ تشریحی | خرید |
دانلود رایگان سوالات عمومی 1404 + کلید
|
||
| سوالات عمومی آزمون استخدامی بانک مرکزی |
||
| دانلود رایگان اصل سوالات آزمون استخدامی بانک مرکزی | مجری: مرکز آموزش مدیریت دولتی | دانلود |
| دانلود رایگان کلید سوالات آزمون استخدامی بانک مرکزی | دانلود | |
دانلود رایگان سوالات تخصصی 1404 + کلید |
|||
| سوالات تخصصی آزمون استخدامی بانک مرکزی | |||
| دانلود رایگان کلید سوالات قانون بانک مرکزی (تخصصی مشترک) | مجری: مرکز آموزش مدیریت دولتی | دانلود | |
| دانلود رایگان سوالات تخصصی (رشته حسابداری) | مجری: مرکز آموزش مدیریت دولتی | دانلود | |
| دانلود رایگان سوالات تخصصی (رشته مدیریت دولتی) | مجری: مرکز آموزش مدیریت دولتی | دانلود | |
| دانلود رایگان سوالات تخصصی (رشته عمران) | مجری: مرکز آموزش مدیریت دولتی | دانلود | |
نمونه سوالات رایگان خودآزما
در راستای کسب آمادگی بیشتر شما داوطلبان آزمونهای استخدامی، واحد آموزشی ایران استخدام اقدام به تهیه نمونه سوالات استخدامی بانک مرکزی ایران نموده است:
دیوان عدالت اداری زیر نظر چه کسی تشکیل میگردد و حدود اختیارات و نحوه عمل آن چگونه تعیین میشود؟
1) رئیس جمهور - توسط قانون
2) رئیس جمهور - توسط رهبر
۳) رئیس قوه قضائیه - توسط قانون
4) رئیس قوه قضائیه - توسط رهبر
پاسخ کارشناس ایران استخدام: گزینه 3
به منظور رسیدگی به شکایات، تظلمات و اعتراضات مردم نسبت به مأمورین یا واحدها یا آیین نامههای دولتی و احقاق حقوق آنها، دیوانی به نام «دیوان عدالت اداری» زیر نظر رئیس قوه قضائیه تأسیس میگردد. حدود اختیارات و نحوه عمل این دیوان را قانون تعیین میکند.
سن کارمند پیمانی در انتهای مدت قرارداد استخدام نباید از .............. سال و برای مشاغل تخصصی از ............. سال تجاوز کند.
۱) 65 سال - 75 سال
2) 65 سال - 70 سال
3) 70 سال - 65 سال
4) 75 سال - 65 سال
پاسخ کارشناس ایران استخدام: گزینه 2
سن کارمند پیمانی در انتهای مدت قرارداد استخدام نباید از 65 سال و برای مشاغل تخصصی از 70 سال تجاوز کند.
کارمندان دستگاههای اجرائی در سال چند روز حق مرخصی کاری با استفاده از حقوق و مزایای مربوط را دارند؟
۱) 30 روز
2) 60 روز
۳) 15 روز
4) 45 روز
پاسخ کارشناس ایران استخدام: گزینه 1
کارمندان دستگاههای اجرائی سالی سی روز حق مرخصی کاری با استفاده از حقوق و مزایای مربوط را دارند. حداکثر نیمی از مرخصی کارمندان در هر سال قابل ذخیره شدن است.
نظارت بر انتخابات ریاست جمهوری بر عهده چه نهادی است؟
۱) مجلس شورای اسلامی
2) قوه قضائیه
۳) هیئت دولت
4) شورای نگهبان
پاسخ کارشناس ایران استخدام: گزینه 4
مسئولیت نظارت بر انتخابات ریاست جمهوری طبق اصل نود و نهم بر عهده شورای نگهبان است، ولی قبل از تشکیل نخستین شورای نگهبان بر عهده انجمن نظارتی است که قانون تعیین میکند.
روابط قوه قضائیه با قوای مقننه و مجریه توسط چه مرجعی تنظیم میشود؟
۱) خبرگان
2) شورای نگهبان
۳) قانون اساسی
4) وزارت دادگستری
پاسخ کارشناس ایران استخدام: گزینه 4
روابط قوه قضائیه با قوای مقننه و مجریه توسط وزارت دادگستری تنظیم میشود.
اگر عدد ثابت a را با همه جملات يك دنباله حسابي جمع كنيم، قدر نسبت اين دنباله چگونه تغيير ميكند؟
۱) ثابت میماند.
2) به اندازه a افزايش میيابد.
۳) به اندازه a كاهش میيابد.
4) به علامت a وابسته است.
پاسخ کارشناس ایران استخدام: گزینه 1
اگر عدد ثابت a را با همه جملات یک دنباله حسابی جمع کنیم، فقط مقادیر جملات دنباله تغییر میکند و قدر نسبت دنباله تغییر نمیکند. دلیل این امر این است که قدر نسبت یک دنباله حسابی برابر است با تفاضل بین هر دو جمله متوالی، و جمع کردن یک عدد ثابت با همه جملات دنباله، تفاضل بین جملات را تغییر نمیدهد.
دو خط I و d در نقطه A متقاطع هستند. چند نقطه روی اين دو خط وجود دارد كه فاصله آنها از نقطه A برابر ۵ باشد؟
۱) 4
2) 2
۳) 1
4) وجود ندارد.
پاسخ کارشناس ایران استخدام: گزینه 1
نقاطی که از به فاصله ۵ هستند، روی دایره ای به مرکز و شعاع ۵ قرار دارند که مطابق با شکل نمایش داده شده، این نقاط دو خط متقاطع را در ۴ نقطه قطع میکنند.

محیط مستطیلی 50 واحد است اگر طول مستطیل یک واحد از عرض مستطیل بیشتر باشد، مساحت مستطیل چقدر است؟
۱) 132
2) 126
۳) 144
4) 156
پاسخ کارشناس ایران استخدام: گزینه 4
محیط مستطیل برابر است با دو برابر مجموع اندازه های طول و عرض.

یعنی طول برابر ۱۳ و عرض برابر با ۱۲ است.
مساحت مستطیل عبارت است از حاصل ضرب طول در عرض مستطیل یعنی:

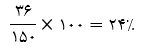
در دسته بندی 150 داده آماری در طبقه فراوانی، دسته پنجم برابر 36 است. درصد فراوانی نسبی این دسته کدام است؟
۱) 24
2) 18
۳) 27
4) 21
پاسخ کارشناس ایران استخدام: گزینه 1
فراوانی نسبی یک دسته برابر است:

پس مقدار خواسته شده برابر است با:

برای نمایش دادههایی که با مقیاس اسمی اندازهگیری شدهاند از کدام نمودار استفاده میشود؟
۱) هیستوگرام
2) میلهای
۳) چند ضلعی
4) دایرهای
پاسخ کارشناس ایران استخدام: گزینه 2
نمودار میلهای: این نمودار هنگامی سود مند است که دادههای جمع آوری شده متعلق به متغیرهای گسسته و با استفاده از مقیاس اسمی رتبهای, فاصلهای و نسبی اندازه گیری میشوند.
«آگاهی انسان از طریق صورتها و مفاهیم ذهنی» و «آگاهی انسان به قوای ادراکی خود» موصوف به کدام علم است؟
۱) حضوری - حصولی
2) حصولی - حضوری
۳) حصولی - حصولی
4) حضوری - حضوری
پاسخ کارشناس ایران استخدام: گزینه 2
علم حصولی یعنی حضور صورت شی در نزد عقل و علم حضوری یعنی حضور خود شی در نزد عقل البته علم حصولی هم نوعی علم حضوری است چه اینکه بالاخره چیزی در نزد عقل حاضر است و تنها تفاوت در حضور خود شی یا صورت ذهنی آن است.
از منظر قرآن چرا انسان به انکار معاد میپردازد؟
۱) نادانی
2) باز شدن راه گنهکاری
۳) ناتوانی
4) سست عنصری
پاسخ کارشناس ایران استخدام: گزینه 1
قرآن کریم یکی از انگیزههای انکار معاد را نشناختن قدرت خداوند میداند.
در قلمرو برهان نظم در قرآن مجید از نظامات موجود در عالم هستی به چه عنوان یاد میشود؟
۱) آفرینش قدیم
2) آیات الهی
۳) خلقت جدید
4) معجزات الهی
پاسخ کارشناس ایران استخدام: گزینه 2
برهان نظم، سادهترین و عمومیترین برهانی است که برای اثبات وجود خداوند ارائه شده است. قرآن کریم از موجودات جهان به عنوان «آیات» یعنی علائم و نشانههایی از خداوند یاد میکند. در این برهان به طور خلاصه چنین گفته میشود که نظم و نظام اشیاء دلیل و نشانهای است بر این که نیروی نظمدهندهای در کار است.
جایگاه ایمان از دیدگاه قرآن کجاست و برترین مرتبه آن، کدام است؟
۱) قلب - عصمت
2) وجود - اطمینان
۳) وجود - عصمت
4) قلب – اطمینان
پاسخ کارشناس ایران استخدام: گزینه 1
از دیدگاه قرآن کریم؛جایگاه ایمان در قلب آدمی میباشد و ایمان خود مراتبی دارد که بالاترین و برترین مرتبه آن؛ عصمت میباشد.
آیه شریفه (مِنْها خَلَقْناكُمْ وَ فِيها نُعِيدُكُمْ وَ مِنْها نُخْرِجُكُمْ تارَة أُخْرى)، در پاسخ چه کسانی است؟
۱) شبه قدرت فاعل
2) منکرین معاد جسمانی
۳) شبه علم فاعل
4) منکرین تجرد روح
پاسخ کارشناس ایران استخدام: گزینه 2
این آیه در پاسخ به منکرین معاد جسمانی بیان شده و بیانگر اثبات معاد جسمانی میباشد. معنی آیه: "ما شما را از زمین آفریدیم و به آن باز میگردانیم و بار دیگر شما را از آن بیرون میآوریم.
برای نشان دادن عبارتهای توضیحی در جمله، کدام نشانه گذاری به کار میرود؟
۱) پرانتز ()
2) دو نقطه (:)
۳) تعجب (!)
4) قلاب []
پاسخ کارشناس ایران استخدام: گزینه 1
عبارتهای توضیحی در پرانتز میآید ولی اگر بخشی به متن اضافه شود که در متن نبوده، از قلاب استفاده میشود.
نوع «را» در کدام جمله متفاوت است؟
۱) هرکه کسی را نرنجاند، از کسی نترسد.
2) بنده را به گناهی شنیع از نظر براند.
۳) سلطان خردمند رعیت را نیازارد.
4) مشتی رند را سیم دادند که سنگ زنند.
پاسخ کارشناس ایران استخدام: گزینه 4
هر سه گزینهی دیگر را مفعولی است اما در گزینهی ۴ را در نقش حرف اضافه آمده است. به مشتی رند، سیم دادند که سنگ زنند.
معنی «عارضه – مبشّر - درایت» به ترتیب کدام است؟
۱) عرضه نمودن - خوش خبر - آگاهی
2) حادثه - نوید دهنده - بینش
۳) بیماری - مژده رسان - گزینش
4) روبه روشدن - خبر خوش - دانش
پاسخ کارشناس ایران استخدام: گزینه 2
عارضه (حادثه)، مبشّر (نویددهنده)، درایت (بینش)
بین دو واژه که احتمال می رود خواننده آنها را با کسره اضافه بخواند کدام نشانه به کار می رود؟
۱) نقطه ویرگول
2) خط فاصله
۳) سه نقطه
4) ویرگول
پاسخ کارشناس ایران استخدام: گزینه 4
ویرگول. بین دو واژه که به اشتباه با کسره خوانده میشود از کاما (ویرگول) استفاده میشود.
منظومه «مروارید مهر» از سرودههای کیست؟
۱) سهراب سپهری
2) رهی معیری
۳) حمید سبزواری
4) فریدون مشیری
پاسخ کارشناس ایران استخدام: گزینه 4
«مروارید مهر» از مجموعهی «شعرهای دریایی»، اثر فریدون مشیری است که در سال 1365 در تهران چاپ شد.
روز ملی فناوری هستهای، كدام روز در تقويم رسمي ايران است؟
۱) ٢٠ ارديبهشت
2) ٩ ارديبهشت
۳) ٢٠ فروردين
4) ١٢ فروردين
پاسخ کارشناس ایران استخدام: گزینه 3
روز ملی فناوری هستهای، روز ۲۰ فروردین در تقویم رسمی جمهوری اسلامی ایران است. این روز به مناسبت ۲۰ فروردین ۱۳۸۵ و اعلام دستاوردهای هستهای قابل توجه در آن روز نامگذاری شده است. هر ساله، مراسم جشنی در این روز در ایران برگزار میشود و دستاوردهای هستهای جدید رونمائی میگردد.
پیامبر اسلام(ص)، كدام روز را «يوم المرحمه» ناميدند؟
۱) روز مبعث
2) فتح خيبر
۳) فتح مكه
4) هجرت به مدينه
پاسخ کارشناس ایران استخدام: گزینه 3
بیستم ماه مبارک رمضان مصادف با سالروز فتح مکه در سال هشتم هجرت میباشد. این روز بر اساس شعاری که پیامبر فرمودند «یوم المرحمه» نام گرفته است.
«شهر هویزه» در کدام عملیات دفاع مقدس آزاد شد؟
۱) خیبر
2) فتح المبین
۳) کربلای 5
4) بیت المقدس
پاسخ کارشناس ایران استخدام: گزینه 4
طی عملیات "الی بیتالمقدس" ۵۰۳۸ کیلومتر مربع از اراضی اشغال شده توسط ارتش عراق، از جمله شهرهای خرمشهر، هویزه، پادگان حمید و جاده اهواز – خرمشهر توسط نیروهای مسلح ایران آزاد شدند.
موافقنامه دیتون، برای پایان کدام جنگ در نوامبر 1995 تنظیم شد؟
۱) ویتنام
2) بوسنی و هرزگوین
۳) کریمه
4) کره
پاسخ کارشناس ایران استخدام: گزینه 3
موافقتنامه دیتون-پاریس یا موافقتنامه چارچوب عمومی صلح در بوسنی و هرزگوین موافقتنامه صلحی بود که در نوامبر ۱۹۹۵ در پایگاه نیروی هوایی رایت-پترسون در نزدیکی دیتون، اوهایو در آمریکا تنظیم شد. این موافقتنامه رسما در ۱۴ دسامبر ۱۹۹۵ در پاریس امضا شد و با امضای آن جنگ بوسنی پایان یافت.
بنیانگذار رصدخانه مراغه کیست؟
۱) شیخ بهایی
2) غیاثالدین جمشید کاشانی
۳) خواجه نصیرالدین طوسی
4) محمد خوارزمی
پاسخ کارشناس ایران استخدام: گزینه 3
پیشرفت رصدخانهها با بنیانگذاری رصدخانه مراغه به اوج خود رسید. بنای این رصدخانه در سال ۶۵۷ هجری (۱۲۶۱ میلادی) به سفارش خواجه نصیرالدین طوسی و به فرمان هولاکو، نوه چنگیزخان مغول، آغاز شد.
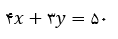
کودکی با 50 مداد رنگی، تعداد مربع و تعدادی مثلث جدا از هم ساخته است. حداکثر تعداد اشکالی که کودک با این تعداد مداد رنگی میتواند بسازد، کدام است؟
۱) 16
2) 15
۳) 14
4) 13
پاسخ کارشناس ایران استخدام: گزینه 2
اگر تعداد مربعها را x و تعداد مثلثها را y در نظر بگیریم معادله دو مجهولی زیر را خواهیم داشت:

و از این رابطه با حدس زدن چند عدد x=5 , y=10 به دست میآید. یعنی:
15=10+5
15 شکل میتوان ساخت.
چند عدد دو رقمی وجود دارد که اگر 5 به آن اضافه شود. مضرب 12 میشود؟
۱) 10
2) 9
۳) 8
4) 7
پاسخ کارشناس ایران استخدام: گزینه 3
زیرا تعداد اعداد دو رقمی بخش پذیر بر 12، از عدد 12 است تا 96 که 8 عدد است. بنابراین از هر کدام از این اعداد 5 تا کم کنیم به اعداد مورد نظر در سوال میرسیم. اما فقط در مورد عدد 12 که منهای 5 برابر با 7 است و عدد یک رقمی است پس در صورت سوال صدق نمیکند، بنابراین 7 عدد دو رقمی داریم که با افزودن 5 به آنها بر 12 بخش پذیر خواهند شد.
رابطهی مقابل را کدام یک از گزینهها تکمیل میکند؟ نسبت «زمان» به «جوان» مثل نسبت 5332 است به ........... .
۱) 2523
2) 3252
۳) 3132
4) 3225
پاسخ کارشناس ایران استخدام: گزینه 3
زمان و جوان هر دو کلمههای چهار حرفی هستند که دو حرف انتهاییشان یکسان است، درست مثل 5332 و 3132 که هر دو اعداد چهاررقمی هستند که دو رقم آخرشان یکسان است.
مغازه داری 26 کیلو چای 20 هزار تومانی ربا 30 کیلو چای 36 هزار تومانی مخلوط کرده و هر کیلو را 30 هزار تومان میفروشد. وی از فروش هر کیلو چای، چند درصد سود میکند؟
۱) 7/5
2) 3
۳) 5
4) 6
پاسخ کارشناس ایران استخدام: گزینه 3
مجموع هزینه خرید چای توسط فروشنده : 1600= (36*30) +(20*26)
پول فروش چای : 1680 = 30 *56
سود حاصل : 80
درصد 5=100*1600/80
ابتدا با حذف 3 کلید از یک دسته کلید، تعداد کلیدهای دسته کلید،y درصد کاهش مییابد، سپس با اضافه کردن 4 کلید به دسته کلید، تعداد کلیدها y2 درصد افزایش مییابد. تعداد کلیدهای این دسته کلید، در ابتدا چند عدد بوده است؟
۱) 16
2) 8
۳) 9
4) 12
پاسخ کارشناس ایران استخدام: گزینه 3
با تشکیل معادله و حل آن با توجه به راههای مسئله، میتوان سوال را حل کرد همچنین میتوان از امتحان کردن گزینهها استفاده کرد.
.if was too they; they decided spend the night at the foot of the mountain ...................
۱) Unless
2) So that
۳) Whether
4) Since
پاسخ کارشناس ایران استخدام: گزینه 4
از آنجاییکه خیلی دیر شده بود، آنها تصمیم گرفتند شب را در دامنه کوه بگذرانند.
1) مگر اینکه 3) بطوریکه
3) آیا 4) از آنجاییکه
(از since بهعنوان یک حرف ربط برای شروع یک جمله واره فرعی استفاده میشود، پس گزینه 4 صحیح است)
.He was ……… to the hospital with acute appendicitis
۱) crashed
2) rushed
۳) pressurized
4) activated
پاسخ کارشناس ایران استخدام: گزینه 2
کلمه rushed به معنای "به سرعت منتقل شد" یا "فورا برده شد" است و بهترین گزینه برای توصیف انتقال فوری فرد به بیمارستان به دلیل آپاندیسیت حاد است.
بررسی سایر گزینهها:
"crashed" به معنی تصادف کردن یا خراب شدن، "pressurized" به معنی تحت فشار قرار گرفتن، "activated" به معنی فعال شدن میباشند.
.If you are trying to build muscle, you should measure your .......................... of muscle to fat
۱) aspect
2) ratio
۳) cycle
4) trend
پاسخ کارشناس ایران استخدام: گزینه 2
با توجه معنی جمله، اگر برای ساختن عضلات خود تلاش میکنید باید نسبت ماهیچه به چربی خود را اندازه گیری کنید، بهترین گزینه 2 به معنی نسبت میباشد.
While there are many hypotheses about Atlantis, but the vast majority of scientists………………… Atlantis never existed
۱) conclude that is
2) conclude that
۳) That conclude
4) they conclude that
پاسخ کارشناس ایران استخدام: گزینه 2
با توجه به اینکه در این سوال کاربرد ضمایر موصولی مطرح میباشد؛ساختار صحیح استفاده از آنها؛ تنها در گزینه 4 به کار رفته است.معنی جمله:اگرچه فرضیه های بسیاری در مورد آتلانتیس وجود دارد؛اما اکثریت دانشمندان بر این باور هست که آتلانتیس هرگز وجود نداشته است.
.If we increased the price, we ………… The risk of pricing ourselves out of the market
۱) would have run
2) would run
۳) have run
4) ran
پاسخ کارشناس ایران استخدام: گزینه 2
با توجه به ساختار جملا شرطی نوع دوم if + past simple, ...would + infinitive گزینه 2 با ساختار would + run پاسخ صحیح میباشد.
در Excel 2016 کدام تابع میتواند بیش از یک عملگر داشته باشد؟
۱) SIN
2) PRODUCT
۳) NOT
4) NOW
پاسخ کارشناس ایران استخدام: گزینه 2
تابع PRODUCT در اکسل برای ضرب چند عدد در یکدیگر استفاده میشود. این تابع تا حداکثر ۲۵۵ آرگومان را میپذیرد. این تابع باید حداقل یک عدد را به عنوان ورودی دریافت کند و وارد کردن سایر اعداد اختیاری میباشد.
کدام ویژگی زیر فقط در ویندوز 11 وجود دارد؟
۱) پین کردن برنامهها در منوی استارت
2) ایجاد تب جدید در اکسپلورر
۳) ماشین حساب علمی
4) وجود نوتیفیکیشن
پاسخ کارشناس ایران استخدام: گزینه 2
یکی از قابلیتهای ویندوز ۱۱ اضافه کردن تب در فایل اکسپلورر است. این قابلیت باعث میشود تا شما نیازی به باز کردن چند فایل اکسپلورر به طور همزمان نداشته باشید.
قابلیت کوچکنمایی برای مشاهده کل اطلاعات بهصورت یکجا را ......... گویند.
۱) Zoom in
2) Zoom Out
۳) Font Size
4) Fit
پاسخ کارشناس ایران استخدام: گزینه 2
گزینه zoom in جهت بزرگنمایی و گزینه zoom out جهت کوچک نمایی کاربرد دارد. گزینه font size نیز جهت تغییر اندازه متنها استفاده میشود.
در نرمافزار Access فیلدی که مقدار آن بین تمام رکوردهای جدول یکتاست، .......... گویند.
۱) Key Field
2) Foreign Key
۳) Memo
4) Index Field
پاسخ کارشناس ایران استخدام: گزینه 1
فیلدکلیدی (Key Field) و کلید اصلی (Primary Key):
فیلد کلیدی فیلدی است که مقدار آن بین تمام رکوردهای جدول یکتا باشد.
کلید اصلی یک یا ترکیبی از چند فیلد که مقدار آن منحصر به فرد بوده و مشخص کننده یک رکورد جدول است.
در نرم افزار Power point 2016 تغییر جهت متن با کدام ابزار انجام میشود؟
۱) Convert to SmartArt
2) Arrange Text
۳) Align Text
4) Text Direction
پاسخ کارشناس ایران استخدام: گزینه 4
برای تغییر جهت نوشته ها باید به منوی بالای نرم افزار به بخش Home بروید و دنبال قسمت Paragraph بگردید. در این قسمت و در کنار جهت متن ها دو قسمت داریم با نام های Left To Right Text Direction و Right To Left Text Direction که با کلیک بر روی هر کدوم تنظیماتش روی متنها اعمال میشود. از این ویژگی میتوانید هم قبل از نوشتن متن و هم بعد از نوشتن متن استفاده کنید.
محصولات مرتبط
دانلود نمونه سوالات استخدامی بانک مرکزی
اگر دیدگاهی درباره این آگهی دارید میتوانید از طریق فرم زیر دیدگاه خود را در سایت درج کنید.